電験1種過去問【2024年機械制御 問1】
【同期機】同期発電機の並行運転《計算問題》
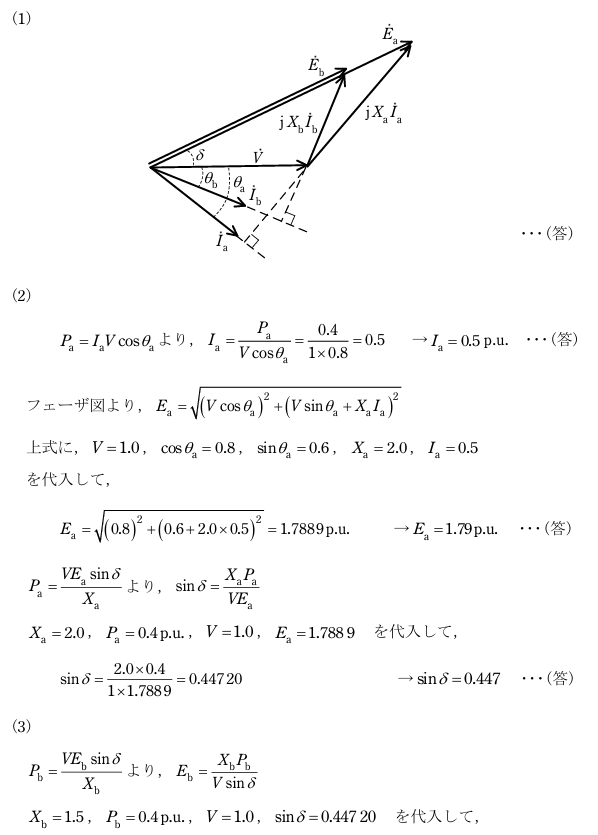
A機及びB機の2台の三相円筒形同期発電機を共通の母線に接続して並行運転を行う。この共通母線に負荷を接続して,両機とも遅れ力率にて,また両機の負荷角が等しくなるように並行運転を行うと両機のフェーザ図の一部が図のようになった。この運転状態の発電機について,次の問に答えよ。
ここで,両機はいずれも定格皮相電力10MV・A,定格力率0.8(遅れ)であり,A機とB機の同期リアクタンスは,Xa = 2.0p.u. ,及び Xb = 1.5p.u. である。なお,鉄心の磁気飽和及び発電機の損失は無視し,単位法は発電機の定格皮相電力及び定格電圧を基準,無効電力は遅れを正とする。
(1) 図を参考にして,\(\dot{V},\dot{E}_a,\dot{E}_b,δ\) に加えて,A機とB機の電機子電流\(\dot{I}_a,\dot{I}_b\) ,力率角 θa,θb,同期リアクタンス電圧降下\(jX_a\dot{I}_a,jX_b\dot{I}_b\)を記入したフェーザ図を答案用紙に描け。なお,フェーザ図は図のように\(\dot{V}\)の位相を基準とし,各機単独では無く一つの図として記載せよ。
(2) この運転状態におけるA機の諸量を有効電力 Pa = 4MW ,cosθa = 0.8,V = 1.0 p.u.として,そのときの\(\dot{I}_a\) [p.u.]を求め,さらに\(\dot{E}_a\)[p.u.],sinδの値を求めよ。
(3) また,そのときのB機の有効電力を Pb = 4MW として,B機の\(\dot{E}_b\) [p.u.]を求め,さらに\(\dot{I}_b\) [p.u.],cosθb ,及びB機が分担する無効電力 Qb [p.u.]の値を求め
よ。

追加学習は同期機の学習帳で


ディスカッション
コメント一覧
まだ、コメントがありません